miodeya.com
HOME
About
Contact
Disclaimer
Privacy
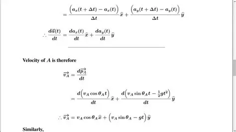
Velocity Vector Derivative
Oct 13, 2025
by miodeya.com
95
views