miodeya.com
HOME
About
Contact
Disclaimer
Privacy
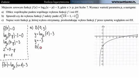
Zadania z wykresem logarytmu
Oct 13, 2025
by miodeya.com
126
views