miodeya.com
HOME
About
Contact
Disclaimer
Privacy
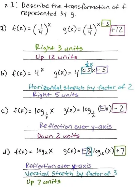
Understanding the Transformation of f Represented by g
Oct 13, 2025
by miodeya.com
54
views