miodeya.com
HOME
About
Contact
Disclaimer
Privacy
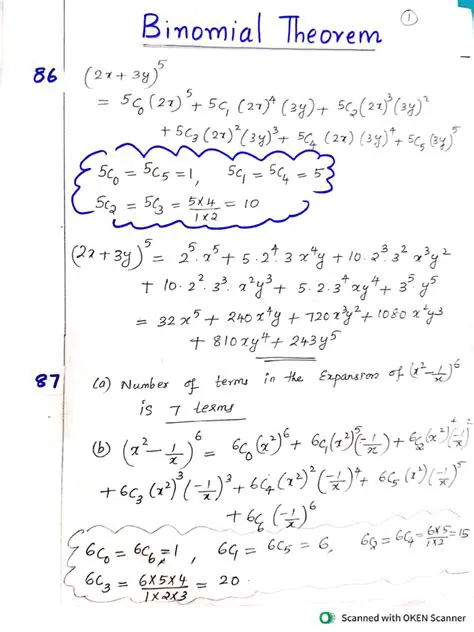
The Binomial Theorem and Its Applications
Oct 13, 2025
by miodeya.com
113
views