miodeya.com
HOME
About
Contact
Disclaimer
Privacy
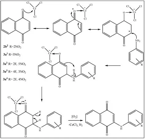
Synthesis of other compounds
Oct 13, 2025
by miodeya.com
29
views