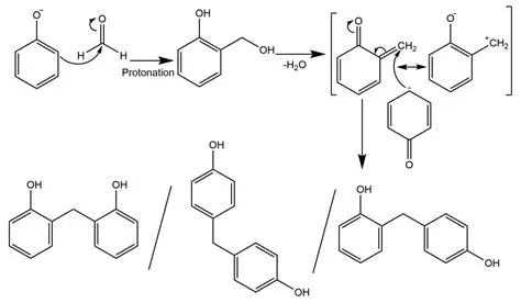
PRA Design of the Factory Making Resin Novolak from Phenol and Formaldehyde Oct 13, 2025 by miodeya.com 29 views