miodeya.com
HOME
About
Contact
Disclaimer
Privacy
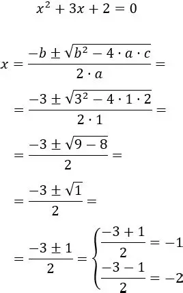
Ecuaciones de segundo grado con dos soluciones reales
Oct 13, 2025
by miodeya.com
97
views