miodeya.com
HOME
About
Contact
Disclaimer
Privacy
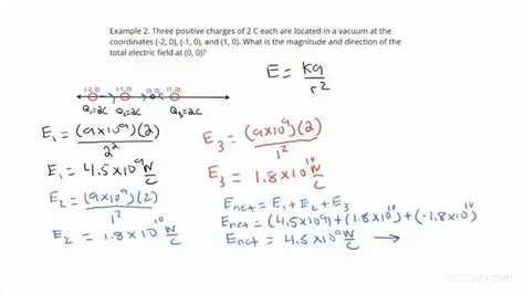
Calculating the Electric Field
Oct 13, 2025
by miodeya.com
62
views