miodeya.com
HOME
About
Contact
Disclaimer
Privacy
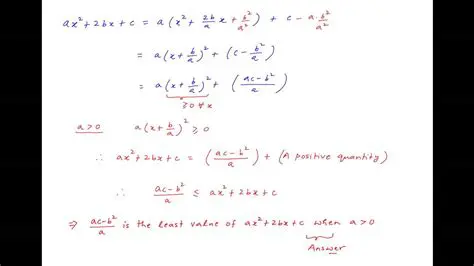
Analysis of the Given Expression
Oct 13, 2025
by miodeya.com
91
views